Recycled concrete aggregate (RCA) in self-consolidating concrete (SCC) has the potential of reducing the environmental footprint and financial cost of this type of concrete- a benefit that is all the more relevant. The purpose of the project is to prepare SCC where the traditional coarse aggregate will gradually be substituted by recycled coarse aggregate in replacement rates of 00 per cent, 25 per cent, 50 per cent, 75 per cent and 100 per cent. SCC is very high workability: it flows and fills formwork self-underlying, without any mechanical vibration, which contributes to the elimination of numerous on-site placement difficulties. The homogeneous SCC mixture cannot be achieved easily; however, SCC is very sensitive to ambient conditions, constituent material and mix proportions. This paper was dedicated to the issues of producing such concrete, which were evaluated mainly through slump-flow test. A total of 15 mixes were prepared with different conditions, which included five levels of RCA replacement and three volume fractions of steel-fiber (0, 0.5 and 1.0). The research problem examined is the possibility of reusing the RCA of the construction debris and broken concrete. RCA is used in place of natural coarse aggregate at various levels to identify the best replacement ratio. Simultaneously, different volumes of steel fibers are added and their interaction with RCA is analyzed with the aim of enhancing the flexural behavior of SCC. The results of fresh-state tests indicate that workability is lower when the level of RCA content is higher; the introduction of steel fibers also lowers flowability and passing capability. To a degree, the substitution of natural coarse aggregate with RCA increased flexural. Besides, the flexural strength of SCC was enhanced by steel fiber incorporation.
ملخص و هدف البحث
إن استخدام ركام الخرسانة المعاد تدويره (RCA( في الخرسانة ذاتية الرص(SCC) يمكن ان يساهم في تقليل التأثير البيئي والتكلفة المالية المرتبطة بهذا النوع من الخرسان ة وبشكل متازيد .ان فكرة هذا المشروع تتلخص في انتاج خرسانة ذاتية الرص تحتوي على نسب استبدال الركام الخشن الاعتيادي بركام خشن معاد تدويره، وبنسب ٪100 ، ٪75 ، ٪50 ، ٪25 ، ٪0 ما يميز الخرسانة ذاتية الرص هو قابلية التشغيل العالية جدا فهي تتدفق ذاتيا وتنساب خلال العناصر الانشائية تحت تأثير وزنها الذاتي دون اللجوء لوسائل ا لرص التقليدي ة، هذه الخاصية أدت الى التغلب على مشاكل صب الخرسانة في الموقع. ولكن الوصول لخلطة خرسانية متجانسة ليس بالأمر السهل فهي خرسانة حساسة جدا ًللظروف المحيطة وللمواد المستخدمة ونسب المواد في الخلطة. ركزت هذه الدارسة على المشاكل المصاحبة لإنتاج مثل هذا ال نوع من الخرسانة من خلال اختبار الانسياب الحر. نفذت (15) خلطة خرسانية في ظروف مختلفة، حيث تم استخدام خمسة نسب استبدال الركام وكل نسبة قد احتوت على ثلاث نسب حجمية لالياف الحديد 0% ، 0.5% ، 1.0%۔ سيتم في هذه الدارسة التطرق الى امكانية الاستقادة من اعادة استخدام ركام الخرسانة الناتج من انقاض البناء ومخلفات الخرسانة المهدمة. حيث سيتم استبدال الركام الخشن الاعتيادي بركام معاد التدوير وبنسب مختلفة وذلك لايجاد النسبة المثلى للاستبدال. من ناحية اخرى سيتم اضافة نسب مختلفة من الياف الحديد الى الخرسانة و دارسة تأثير تداخلها مع الركام معاد التدوير في امكانية تحسين خواص الانحناء للخرسانة ذاتية الرص. اظهرت نتائج فحوصات الخرسانة الطرية، ان قابلية التشغيل تقل كلما ازدت نسبة الركام المعاد تدويره في خلطة الخرسانة ذاتية الرص. وكذلك كان لاضافة الياف الحديد تأثير سلبي عل ى انسيابية و جريان الخرسانة. الى حدما، فقد ساهم استبدال الركام المعاد تدويره في تحسين خواص الانحناء. من ناحية اخرى، ومن خلال النتائج يلاحظ ان اضافة الياف الحديد ساعد ت في زيادة مقاومة الانحناء للخرسانة ذاتية الرص.
كلمات مفتاحية: خرسانة ، الركام ، المعاد ، نسبة ، الانحناء
مقدمة عامة
ازدادت أهمية إثبات ملاءمة الركام المعاد تدويره في السنوات الأخيرة على خلفية التركيز المتزايد على ممارسات البناء المستدامة. كما أشار بادميني وآخرون [1] ، معدل هدم المباني في تزايد مستمر، مما يجعل من الضروري إعادة استخدام نفايات الهدم بشكل فعال للحفاظ على الموارد
الطبيعية غير المتجددة. في الوقت الحاضر يتم التخلص من جزء كبير من نفايات البناء والهدم المفيدة في مواقع دفن النفايات، مما يخلق مشاكل بيئية بسبب ندرة هذه المواقع، والتخلص غير المخطط له، والتكلفة البيئية لنقل نفايات الهدم [2]. استخدام المواد الخشنة المعاد تدويرها الركام الخرساني( RCAs) كبديل للركام الخشن الطبيعي في الخرسانة يوفر حلاً مستدامًا لهذه المشاكل.
ومع ذلك، قد يؤدي استخدام RCA إلى تقليل جودة الخرسانة نظرًا لأن RCAs الخشنة تكون بشكل عام ذات جودة أقل من الركام الخشن الطبيعي، مع امتصاص أكبر للماء [3,4] وكثافة أقل [5]. يرجع هذا الا نخفاض في الجودة إلى حقيقة أن RCA الخشن يتكون من كل من الركام الأصلي والملاط الملتصق ؛ وبالتالي، فإن جودة RCA لا تعتمد فقط على الركام الأصلي، ولكن أيضًا على جودة وكمية الملاط الملتصق.
يؤثر استخدام RCA أيضًا على خصائص مناطق الانتقال البينية بين الركام ومعجون الأسمنت [6]، والذي بدوره يؤثر على خصائص قوة الخرسانة المحتوية على RCA. عند دراسة الخواص الميكانيكية للخرسانة باستخدام RCA، أكدت معظم الأبحاث السابقة أن انخفاض الصلابة (أي معامل المرونة) أعلى من انخفاض القوة [7-10].
هناك اعتبار آخر مهم وهو التخفيض المحتمل في قابلية التشغيل للخرسانة التي تتضمن RCA الخشنة، بسبب زيادة الزوايا وخشونة السطح لـ RCA عند مقارنتها بالركام الخشن الطبيعي [1,4]. هذا ذو أهمية خاصة للشكل الشائع بشكل متزايد للخرسانة المعروفة باسم الخرسانة ذاتية الضغط (SCC) [11]. يعرف الكود الأوروبي [12] SCC كخرسانة قادرة على التدفق والضغط تحت وزنها، وملء القوالب مع تقويتها، ومنازل صندوق مجاري الهواء، وما إلى ذلك، مع الحفاظ على التجانس۔
إنه شكل حديث نسبيًا من البناء الخرساني تم تطويره في اليابان في منتصف الثمانينيات وتم تقديمه في أوروبا في منتصف التسعينيات .على الرغم من تطورها الأخير، إلا أن SCC تستخدم الآن على نطاق واسع في الصناعة بسبب مزايا SCC التي تشمل زيادة الإنتاجية في الموقع، وتحسين جودة البناء، وتحسين ظروف العمل في الموقع [13,14].
ومع ذلك، كما أشار [3]، تكلفة SCC أعلى من الخرسانة التقليدية المهتزة بسبب الحاجة إلى محتويات مسحوق أعلى ومضافات كيميائية في SCC. وبالتالي من أجل السماح لشركة الكابلات السعودية للوصول إلى إمكاناتها الكاملة من حيث استيعاب الصناعة من الضروري تطوير طرق لجعل شركة الكابلات السعودية أكثر فعالية من حيث التكلفة. يوفر استخدام RCA الخشنة كبدائل للركام الطبيعي الخشن في SCC وسيلة لتقليل تكلفة SCC، مع تقليل البصمة الكربونية لإنتاج الخرسانة. وبالتالي، هناك دراسة جدوى والتزام بيئي لاستكشاف استخدام تحليل السبب الجذري في SCCs.
فوائد ركام خرسانة الهدم المعاد تدويره
تعد الفائدة الأساسية من استعمال المواد المعاد تدويرها هي التقليل من خطر تأثير هذه النفايات على البيئة، حيث تشكل نفايات هدم الأبنية حوالي 40% من إجمالي النفايات العام والتي تقدر بحوالي 14 مليون طن سنوياً، ومن خلال عملية إعادة التدوير يمكن التقليل من حجم هذه النفايات واعادة استعماليا في ميادين هندسية متعدٍدٍة ما يؤمن ادخار الحصويات الطبيعية من أجل تطبيقات تتطلب جودةً عاليًة [15]۔
كذلك تعتبر كلفة استعمال المواد المعاد تدويرها أرخص نسبياً من الحصويات الطبيعية، حيث توصل الباحثون إلى ان كلفة استعمال المواد والحصويات المعاد تدويرها بحدود 3.8 الى 7.7 دولار للمتر الواحد والتي تعتمد على مقاسات الحصويات المستعملة وعلى الإمكانات المتوفرة محلية، وهذه الكلفة أخفض بحوالي 1.5 مرة من كلفة استعمال الحص ويات الطبيعية بسبب وزنها الأخف الذي يخفض تكاليف النقل 51]].
بالإضافة الى ذلك قد يوجد العديد من الناس الذين سيعملون في مجال هذه التقنية الجديدة مثل: أخصائيين، عمال عاليين، سائقين، مهنيين. يعد سوق انتشار هذه المواد المعاد تدويرها واسعة جدا، حيث يمكن أن تستعمل في الأرصفة، الجسور، الركائز البيتون ي، الأعمال الطرقية، الممرات المؤدية إلى الأبنية السكنية، الاستماررية: إن كمية نفايات هدم الأبنية والتي قد تدفن تحت الأرض يمكن أن تخفض من خلال عملية إعادة الاستخدام، وهذا يطيل في أمد المصادر الطبيعية للحصويات وكذلك تتيح هذه المنهجية إمكانية استثمار المواقع التي كانت ستخصص لطمر النفايات ف ي ميادين أخرى [15] .
بالإضافة الى أعلاه فهنالك فوائد أخرى لإعادة تدوير الخرسانة منه
الحفاظ على الطبيعة (وهو أحد أهم متطلبات العصر الحالي) حيث أن استخدام الحصويات المدورة يقلل من الحاجة إلى الحصويات الطبيعية التي تؤخذ من المقالع.
تقليل النفايات الناتجة عن هدم الأبنية القديمة. فبدلاً من ارسال هذه النفايات إلى المكبات وبالتال ي استهلاك أ ارضي خاصة لهذه المكبات، نستفيد منها بإنتاج مواد جديدة. ونكون بهذا الفعل أيضاً قد خففنا من التل وث البصري .
الاستفادة من المعادن. ويتم ذلك عن طريق استخلاص حديد التسليح كخطوة مهمة في عملية إعادة التدوير حيث نستخدم تقنيات المغنطة الكهربائية في عملية نزع التسليح.
توفير نفقات النقل عند إعادة استخدام الحصويات المدورة في الموقع نفسه.
التقليل قدر الامكان من التكاليف اللازمة لتأمين حصويات جديدة.
الهدف من البحث
هو ان الخرسانة ذاتية الدمك هي خرسانة حساسة للظروف المحيطة وعملية تنفيذها ليس بالأمر السهل فخواصها الطرية تتأثر بشكل كبير بنوعية وكمية المواد المستخدمة وطريقة معالجتها وحتى طريقة الخلط نفسها لذلك تقدم هذه الدراسة معلومات تفيد وتسهل عملية تنفيذ الخرسانة ذاتية الدمك كما تقدم معلومات عن سلوك هذا النوع من الخرسانة، أيضا قد تساعد هذه الدراسة على حل المشاكل المعترضة عند التنفيذ.
كذلك عمل فحوصات مختبرية على نسب معينة من الحصويات المعاد تدويرها (50,100,52,0) % من وزن الركام الخشن.
كذلك تقييم أداء ركام الخرسانة المعاد تدويرها من حيث الجودة والضغط المسلط ومقدار تحملها الأقصى وملائمتها في الاعمال الخرسانية.
تنظيم مشروع البحث
تحتوي هذه الد راسة على أربعة فصول. في الفصل الأول تم عرض مقدمة عن ركام الخرسانة المعاد تدويرها وبيان فوائدها. الفصل الثاني يشمل الدراسة السابقة ذات العلاقة بموضوع إعادة تدوير ركام الخرسانة. بينما الفصل الثالث يتضمن طريقة العمل وعرض النتائج والمناقشة مدعومة بالفحوصات المختبرية.. الفصل الرابع يلخص النتائج والاستنتاجات.
أهم ما يجب معرفته قبل استخدام الحصويات الخرسانية المعاد تدويرها
بالنسبة للحصويات المعاد تدويرها (بشكل عام( ، فإن شدة امتصاصها للمياه أعلى من شدة امتصاص(الحصويات الطبيعية) للمياه، والوزن النوعي لها اقل من الوزن النوعي للحصويات الطبيعية، وهذا بسبب نسبة امتصاص المياه العالية للملاط المسامي و تصلب العجينة الاسمنتية ضمن المجموعة الخرسانية المعاد تدويرها (الشکل 1).
نسبة امتصاص (الحصويات المعاد تدويرها( للمياه تتاروح عادة ما بين 3%و 10% وهذه النسبة تتعلق بنوع ومصدر هذه الحصويات، وتقع قيمة هذه النسبة بين قيم نسب امتصاص (الحصويات خفيفة الوزن) و)الحصويات الطبيعية( للمياه.
تتعلق نسبة امتصاص (الحصويات المعاد تدويرها) للمياه بحجم هذه الحصويات، فكلما قل حجمها زادت نسبة الامتصاص. ني السكنية القديمة والمتضررة نتيجة الحروب ينتج عنة زيادة الطلب في مدافن المخلفات، بالإضافة

الشکل 1: رکام الخرسانة المعاد تدویر
إلى ما يترتب عنه من أضارر بيئية. وللتقليل من هذه المشاكل، اتجهت الكثير من الأبحاث إلى دراسة إمكانية إعادة تدوير مخلفات الخرسانة الصلبة لاستخدامها كبديل عن الركام لإنتاج خرسانة صديقة للبيئة.
الدراسات ذات العلاقة
بينت دراسة قام بها Singh [16] بان انتاج الخرسانة عالميا تقدر بـ 1م3 لكل شخص، واحتمالية استهلاك الركام الطبيعي تصل الي أكثر من 48 بليون طن بعد عام 2015. استنتج Akiyoshi وآخرون [17] بأن معظم المباني الخرسانية في اليابان هي في حاجة الي الازالة أو الصيانة وان كميات المخلفات الصلبة للخرسانة الناتجة عن الهدم تصل الي 30 مليون طن سنويا. بينما اشار Marinkovic و Radonjanin [18] الي ان كميات مخلفات الخرسانة في بلدان الاتحاد الأوربي تقدر بحوالي 850 مليون طن سنويا. وللتقليل من الاضرار البيئية الناتجة عن مخلفات الخرسانة الصلبة، اتجهت الكثير من الأبحاث إلى دراسة إمكانية إعادة تدوير هذه المخلفات لاستخدامها كبديل جزئي أو كلي عن الركام الطبيعي لإنتاج خرسانة صديقة للبيئة. غير أنه أوضحت بعض الدراسات [21-19] بان استخدام الركام المعاد في الخرسانة يؤدي الي الزيادة في الانكماش الجاف والزحف وامتصاص الماء ويقلل ايضا من مقاومة الانضغاط ومعامل المرونة للخرسانة مقارنة بالخرسانة المحتوية على الركام الطبيعي. كما بينت ايضا نتائج دراسة معملية قام بها Singh واخرون [22] بان استخدام الركام المعاد في الخرسانة يؤدي الي التقليل من مقاومة الانضغاط بنسبة تصل الى 40%.
إن فهم كيفية تغير الركام بعد استخدامه بالفعل في الخرسانة يمكن أن يحسن القدرة على وصف سبب أداءRCA بشكل مختلف عند استخدامه في الخرسانة الجديدة من NA.خصائص الركام الرئيسية التي يتم تقديمها هي الكثافة والمسامية وامتصاص الماء للركام، وشكل الركام وتدرجاته، ومقاومة الركام للسحق والتآكل. الكثافة والمسامية وامتصاص الماء الملاط المتبقي الملتصق على الركام هو عامل رئيسي يؤثر على خصائص الكثافة والمسامية وامتصاص الماء من RCA.
كثافة RCA أقل عموما من كثافة NA، بسبب الملاط الملتصق الذي هو أقل كثافة من الصخور الأساسية. يعتمد التباين في الكثافة على المجموع المحدد المعن ي. أظهرت دراسة أجراها الباحثون [23] أن الكثافة النسبية لRCA (في الحالة الجافة السطحية المشبعة) أقل بنسبة 7-9٪ تقريبا من كثافة NA.وجد الباحثون أن منحنيات التدرج ف ي RCAكانت ضمن هذا النطاق المحدد. وهذا يشير إلى أنه ينبغي أن يكون للتقييم الإقليمي المتكامل تدرج مقبول وفقا للمعايير المعمول بها دون إج راء تعديلات[24-32]۔
أما فيما يخص الخصائص الميكانيكية لهذا النوع من الخرسانة فقد توصل الكثير من الباحثين [25-27] إلى أن مقاومة الضغط ومعامل المرونة للخرسانة المنتجة من ركام معاد تدويره أقل بالمقارنة مع قيمهما في الخرسانة التقليدية Natural Aggregate Concrete, NACوخاصة عندما تكون نسبة الاستبدال للركام الطبيعي بالركام المعاد تدويره 100%.أما عند نسب استبدال منخفضة لا تتجاوز 30%فقد تبّين أنها لا تؤثر بشكل كبير على الخواص الميكانيكية للخرسانة [28]۔ أجريت دراسات متعددة حول أثر نسبة الركام المعاد تدويره كما في دراسة [29] الت ي تم فيها اعتماد تدوير نفايات المخبر وأخذ نسب الاستبدال التالية%( 50 ،%30 ،%15 ،%0( للركام المعاد تدويره كبديل عن الركام الطبيعي، أظهرت النتائج أن المقاومة على الضغط تقل كلما زادت نسبة الركام المعاد تدويره.
وتم تسجيل انخفاض في المقاومات من أجل نسبة استبدال 50% قدرت بـ%( 25 ،%23 ،%26) في المقاومة على الضغط، الانعطاف والشد بالفلق على التتال ي. قام[ [30بدراسة الخصائص الميكانيكية لـ RAC كمقاومة الضغط، معامل المرونة، التقلص والزحف. كما درس ديمومتها وذلك من أجل نسبة( 100 ، 30،0)% من، RAبّينت الد راسة إمكانية الحصول على خرسانة منتجة من ركام معاد تدويره بمواصفات الخرسانة التقليدية تقريباَ عندما يتم استخدام نسبة 30%من.RA
توصل أيضا[31] أنه من أجل نسبة استبدال كاملة للركام الطبيعي بالركام المعاد تدويره تكون مقاومة الضغط أخفض بـ 20-25%عن حالة الخرسانة التقليدية، في حين أن معامل المرونة يكون أقل بحوالي 16%.تم التأكيد في هذا البحث أن استخدام نسبة 25%من RA بدلاً عن NAلا يؤدي إلى تغير يذكر على الخصائص الميكانيكية، وكوسيلة لتحسين أداء RAC أوضحت الدراسة أنه عند اعتماد نسبة استبدال تتاروح بين50 -100% فيجب أن تزاد كمية الاسمنت بنسبة 4-10% وتخفض نسبة w/c بمقدار 5-01% توصل الباحث أيضاً من خلال بحثه أن مقاومة الشد لا تتأثر كثي را عند استخدام RAفي الخلطة الخرسانية.
أكد في هذا الصدد أيضا [32,33] ان زيادة الاسمنت لها أثر جيد على تحسين مقاومة الضغط للخرسانة في حال استخدام الركام المعاد تدويره، حيث بّين [32] Konin and Kouaido أن استخدام كمية للأسمنت أعلى من 300كغ/م3 تحسن مقاومة الضغط للخرسانة المنتجة من ركام معاد تدويره لتصبح شبيهة بالخرسانة المنتجة من ركام طبيع ي. يعتبر الامتصاص العالي للماء للركام المعاد تدويره من أهم الأسباب التي تعطي جودة منخفضة للخرسانة، لذلك قام [ [34بدراسة تجريبية على الخواص الميكانيكية لـ RACواستخدام الركام المعاد تد ويره وهو في الحالة المشبعة جافة السطح وذلك من أجل التخلص من مشكلة الامتصاص العالي له، أظهرت النتائج أن مقاومة الضغط لـ RACعند استخدم 100%من الركام المعاد تدويره حققت ما يقارب 09%من مقاومة الضغط لـ، NAC وفيما يخص تطور المقاومة والديمومة كانت النتائج متقاربة بين كلا الخرسانتين۔
احصائيات وتجارب بعض الدول في مجال إعادة استخدام ركام ابنية الخرسانية
تشير الدراسات الاقليمية بأن دول الخليج مجتمعة [35] تنتج أكثر من 120 مليون طن من النفايات سنويا، والتي يتكون 18.5% منها من مخلفات الإنشاء الصلبة. فعلى سبيل المثال ووفق احصائيات أجريت من قبل بلدية دبي مؤخرا نرى أن نسبة مخلفات البناء والهدم تشكل 75% من اجمالي 10,000طن من الفضلات العامة التي تنتجها المدينة يوميا، وتشكل أنقاض الهدم حوالي 70% من هذه الكمية.
تنبهت حكومة الكويت إلى المشاكل التي تسببها مخلفات هدم المنشآت ولكي يتم تقليل مساحة الأراضي اللازمة لوضع هذه المخلفات، فقد وافقت حكومة الكويت لشركة EPIC Environment Protection Industrial Co ان تبدأ بإنشاء محطة لإعادة تدوير مخلفات الإنشاء وذلك بطاقة يومية حوال ي 7-20 ألف طنا من مخلفات الإنشاء وبالنسبة للمملكة العربية السعودية فقد تم إنشاء محطة لإعادة التدوير في جدة، والتي تملك طاقة ۔
فرز تبلغ 1200 طنا في اليوم، ولكن هذه المحطة لا تق وم بإعادة تدوير أية مواد إنشائية. وقد تمت المطالبة بدعم التنفيذ المحدود لعمليات إعادة تدوير الخرسانة في المملكة عن طريق بعض الفعاليات مثل قيام رئيس المجموعة المؤسسة لمجلس البناء الأخضر الخليجي Saudi Green Building Council بدعوة البلديات في جدة والمدن الأخرى لإطلاق معامل لإعادة التدوير۔
وتعد الإمارات العربية المتحدة أحد أكثر البلدان النشيطة في منطقة الخليج العربي عندما نتحدث عن تطبيقات إعادة تدوير الخرسانة. فقد وقع مختبر دبي المركزي اتفاقية مع هيئة تدوير الإمارات وبلدية دبي لدراسة وتقييم مخلفات الهدم الإنشائية وحيث أن هذه المخلفات يتم إهمالها عادة من قبل المتعهدين، فإن المشروع يهدف لإيجاد تطبيقات مفيدة لاستخدام أنقاض البناء. وفي أبو ظبي، تم دعم العديد من المشاريع المتعلقة بالبناء الأخضر ومواد الإنشاء الصديقة للبيئة. وأما إمارة الشا رقة فقد كان لها نصيبا من هذه الفعاليات في مجال المنشآت المستدامة. حيث أنه تم مؤخرا افتتاح محطة تدوير جديدة في المنطقة الصناعية في الشارقة. حيث تستقبل هذه المحطة الخرسانة ومخلفات إنشائية أخرى من مختلف المناطق في الإمارات وتقوم بمعالجتهم ليتم استخدامهم مرة أخرى لأغراض إنشائية.
يتم في اليابان [36] استخدام الأراضي بشكل فعال جدا، ولتجنب الحصول على مساحات من الأراضي التي تحتوي على المخلفات، فقد عمل اليابانيون على تدوير مخلفات الهدم. وفي عام 1981 تم كتابة مقترح لمعايير استخدام الحصويات المعاد تدويرها من الخرسانة من قبل ContRCAtors Building Society في اليابان. وتابعت اليابان استثمارها في مجال بحوث إعادة التدوير بشكل واسع. أن قدرة تحمل الخرسانة الناتجة عن حصويات معاد تدويرها بشكل كامل على الضغط كانت أقل بحوالي 7%-20% من الخرسانة الناتجة من الحصويات التقليدية.
أنتجت ألمانيا [37] في عام 2004 ما مقداره حوالي 201 مليون طن من مخلفات الإنشاء والهدم وقد تم إعادة تدوير حوالي 89% منها .يوضح الجدول 1 نسب إعادة التدوير في ألمانيا.
يوضح الجدول 2 ادناه المعلومات المتوفرة حول كميات الخرسانة التي تم تدويرها وفق [38] في العديد من دول العالم Construction Industry Monitoring تقرير۔
مقدمة
سيتم استخدام المواد المتوفرة محليا لإنتاج الخلطة الخرسانية من سمنت وركام ناعم وركام خشن مع اضافه مادة بروبابلين ,والالياف الفولاذية في بعض الخلطات وذلك لمعرفة تأثرها في تحسن الخواص المكانة للخرسانة بعد تعرضها للضغط ويتم في هذا الفصل عرض ومناقشة الجانب العملي لمشروع البحث والذي يتضمن تفاصيل وأبعاد المواشير مع العوامل ذات الصلة، وشرح خصائص المواد المستخدمة، وتصميم المزيج، وتفاصيل العينات والاختبارات العملية واختبار قوة الانحناء۔
المواد المستخدمة
المواد التي استخدمت في الجانب العملي من هذا المشروع تتلخص في النقاط التالية:
الاسمنت: يتم استخدام الا سمنت البورتلاندي المتوفر محليا ومطابق للمواصفات العراقية من انتاج معمل سمنت ماس السليمانية (الشكل 1)
الركام الناعم وهو ركام نهري مدور عابر من منخل 4.75 كما موضح في (الشكل 2)
الركام المعاد تدويره وهو ركام يتم الحصول عليه من انقاض معامل الصب الجاهز او معامل البلوك.
الركام الخشن وهو ركام نهري مدور متبقي على منخل 4.75 كما موضح في الشكل 3
المواد المضافة كيميائيا: الملدنات فائقة السرعة (الشكل 4)
المواد المالئة: a غبار السليكا يتم الحصول عليها من الدخان المتصاعد من خلال مداخن الأفران بواسطة عملية التكثيف b رماد متطاير (شكل 5a وشكل 5b)
الماء
الياف الحديد، سيتم استخدام الياف صغيرة جدا تتراوح اطوالها ( 14 mm-12( وذات قطر( 0.2mm ) ( شكل 6)
تحضير المواد (القوالب)
في هذا البحث تم تحضير15 خلطة خرسانية لإيجاد قوة الانحناء للخرسانة ذاتية الضغط التي تحتوي على الركام المعاد تدويره والتي تحتوي على ألياف فولاذية ونسب مواد كما موضح في جدول 3. وتم تحضير القوالب بأبعاد (cm 10*10*50) وتم تنظيفها وتدهين الوجه الداخلي لها كما في الشكل 8۔
جدول :1 النسب المئوية لاعادة تدوير مخلفات الانشاء والهدم في المانيا
الكمية المنتجة 2004 MT | النسبة المئوية المعاد استخدامها او تدويرها | نوع مخلفات الانشاء والهدم C%DW |
128 | 88% | حفر التربة |
51 | 91% | مخلفات الانشاء وموقع البناء |
20 | 99% | اعمال الطرق |
2 | 25% | اخرى |
جدول 2: كميات الخرسانة التي تم تدويرها في العديد من دول العالم (2007)
C%DW المدور% | C%DW المدورة MT | ) MT (الكلية C%DW | الدولة |
57 | 8 | 14 | استرالي ا |
86 | 12 | 14 | بلجيكا |
N/A | 8 (Recycled concrete) | N/A | كند ا |
45 | 1 (Recycled concrete) | 9 (incl. 3 of concrete) | جمهورية التشيك
|
50-90 | 46 | 90 | إنكلتر ا |
63 | 195 | 309 |
فرنسا |
89 | 179 | 201 | الماني ا |
80 | 13 | 17 | ايرلند ا |
80 | 62 | 77 | اليابان |
95 | 25 | 26 | هولندا |
50-70 | N/A | N/A | النرويج
|
Minimal | Minimal | 4 | البرتغا ل |
10 | 4 | 39 | اسباني ا |
Near 100 | 2 | 7 (incl. 2 of concrete) | سويسرا |
91 | 58 | 63 | تايوان |
N/A | N/A | 10 | تايلاند |
82 | 127 (Recycled concrete) | 317 (incl. 155 of concrete) | الولايات المتحدة |
خلط الموا د
بعد تعين نسب الوزنية للخلطة للخرسانة تم تنفيذ عملية الخلط بصورة دقيقه اولا تم وزن المواد بواسطة ميزان الكتروني وبنسب محدد لكل خلطة ومن ثم تم اضافة الركام الخشن اولا وجزء من الماء مضافه اليها الملدن وتم خلط في خلاطة لمدة دقيقه ثم تم اضافة الرمل والسمنت وبقية المواد وكمية الماء متبقي مع الملدن ومن ثم يتم خلط لمدة 3 الى 5 دقائق بواسطة الخلاط الكهربائي ويجب الانتباه الى عدم ترك المونة الملتصقة في الجدران الخالط للحفاظ عل ى نسب الخلطة المطلوبة ولمنع انعازل يتم تفرغ خرسانة في الوعاء رطب ويعاد خلطها قليل بواسطة الغرفة لضمان التجانس(الشكل 9)۔ صورة للخلاطة التي تم بها خلط المواد۔
الفحوصات الطرية للخرسانة
يتم اختبار خرسانة قبل صب في اسطوانات وهناك ثلاث اختبارات اساسية للخرسانة ذاتية الدك:
فحص الهطول الانسياب الحر Slump Flow
الغرض من الاختبار هو تحديد قوام الخلطة الخرسانية
المعدات
قالب على شكل مخروط
صفيحة قاعدة من مادة صلبة غير ماصة
مجرفة – مغرفةٓ - ساعة توقيت (اختياري)
اجارءات العمل هذا الاختبار هي كما يلي نقوم بتنظيف السطح الداخلي للمخروط والتأكد من عدم وجود أي اثار خرسانة عالقة على سطح مخروط الاختبار نضع اللوح الاساسي على أرض مستوية ومستقرة ونقوم بعمل دائرة قطرها 50 سم ونضع مخروط الهطول في منتصف الدائرة ونقوم بمل يء المخروط بالخلطة الخرسانية بمغرفة من الأعلى دون الرص . نقوم بإزالة أي فائض من الخرسانة حول قاعدة المخروط. نرفع المخروط رأسيا دون أي هزات ونترك الخرسانة تتدفق بحرية على سطح مستو. في نفس الوقت ونلا حظ الوقت اللازم لتدفق الخرسانة على شكل دائرة بقطر 50 سم. يتم قياس الوقت من وقت بدء الرفع مخروط الي اين يتخذ شكل الدائرة ويسمي زمن 50t۔ نقيس القطر النهائي للخرسانة في اتجاهين متعامدين . كما في الشكل 10a و 10b.
اختبار انسياب الخرسانة من القمع V-Funnel Test
الغرض من الاختبار هو تحديد السيولة (سعة الملء) من الخرسانة المضغوطة ذاتيًا المعدات
قمع
V دلو
ساعة الت وقيف
إجارءات العمل هذا الاختبار هي كما يلي ضع القمع V مع الترتيب الداعم على أرض صلبة ومستوية، نق وم بتنظيف القمع والبوابة سفلية نرطب السطح الداخلي للقمع تمامًا باستخدام إسفنجة مبللة ونغلق باب المصيدة ونضع دلوا تحته، ثم نصب الخرسانة من أعلى القمع بشكل كامل بدون أي جهود خارجية إما لضغطها أو تسويتها نفتح باب المصيدة بأسرع ما يمكن بعد ملء القمع. ونسمح للخ رسانة بالتدفق تحت الجاذبية نبدأ ساعة الإيقاف عند فتح باب مصيدة ونسجل وقت اكتمال التفريغ يؤخذ هذا على أنه عندما يرى الضوء من أعلى عبر القمع. وأفضل مدة زمنية المطلوب لإفراغ القمع تمامًا هو 10ثوان. كما في الشكل 11.


الشکل 1: السمنت

الشکل 2: الرکام العابر من منخل

الشکل 3: الحصی

الشکل 4: المضافات الکیمیاوية

الشکل a5:غبار السلیکا

الشکل b5: رماد المتطایر

الشکل 6: الألياف الفولاذية

الشکل 7: تحضير كل المواد للخلطة

الشکل 6: نموذج صب بأبعاد cm (10*10*50)

الشکل 6: صورة للخلاطة التي تم بها خلط المواد

الشکل a10: فحص الھطول

الشکل b10: فحص الھطول

الشکل 11: اختبار انسياب القمع

الشکل a12:L-Box Test

الشکل b12:L-Box Test

الشکل 13: نماذج الصب

الشکل 14a: اثناء وضع النماذج في الأحواض

الشکل b14: اثناء إخراجها من الحوض ووضعها في المختبر

الشکل 15: الجهاز الذي تم استخدامه لفحص النماذج

الشکل 16: تأثير الركام المعاد تدويره على مقاومة الأنحناء

الشکل 17: تأثير الألياف الفولاذية على قوة الأنحناء

الشکل 18: فحص اختبار الانحناء

الشکل 19: فحص اختبار الانحناء

الشکل 20: فحص اختبار الانحناء

الشکل 21: فحص اختبار الانحناء

الشکل 22: فحص اختبار الانحناء
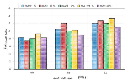
جدول 4: نتائج مقاومة الانحناء للخرسانة ذاتية الرص
| Rc | Sf | Load Load | Avg.Load | |
| 0 | 0 | 8 | 8.5 | 8.25 |
| 0.5 | 10 | 11 | 10.5 | |
| 1 | 12 | 12 | 12 | |
| 25% | 0 | 7.5 | 7.5 | 7.5 |
| 0.5 | 12 | 12 | 12 | |
| 1 | 13 | 12.5 | 12.75 | |
| 50% | 0 | 8 | 8 | 8 |
| 0.5 | 10 | 10 | 10 | |
| 1 | 12 | 12 | 12 | |
| 75% | 0 | 7.5 | 11 | 9.25 |
| 0.5 | 8 | 12.5 | 10.25 | |
| 1 | 14 | 12.5 | 13.25 | |
| 100% | 0 | 8 | 8.5 | 8.25 |
| 0.5 | 8 | 10 | 9 | |
| 1 | 10 | 12 | 11 | |
L-Box Test
الغرض من الاختبار هو تحديد قدرة مرور الخرسانة معدات
صندو قL من مادة صلبة غير ماصة
دلو
مجرفة
ساعة التوقيف
إجارءات تنفيذ هذا الاختبار هي كما يلي ضع الصندوق L على أرض ثابتة / مستوية، تأكد من أن البوابة المنزلقة يمكن أن تفتح بحرية ثم تغلقها. نقوم بترطيب السطح الداخلية للجهاز ونغلق باب المصيدة، نملأ القسم الرأسي للجهاز بالخرسانة تمامًا ، بعد دقيقة نرفع البوابة دون أي اهتازز، ونسمح للخرسانة بالتدفق إلى القسم الأفق ي. في نفس الوقت نبدأ ساعة الإيقاف ون سجل الأوقات التي تستغرقها الخرسانة لتتوقف عن التدفق نقوم بقياس ارتفاع الخرسانة عند انسداد او بداية جزء العمودي (h1) وارتفاع الخرسانة في نهاية التدفق او جزء الافقي (h2) لتحدد قابلية الاستواء وفيما يتعلق بأسفل المربع' L' نسبة h2 / h1 كما في الشكل 12a و .12b
صب خرسانة
بعد عملية خلط خرسانة والفحوصات تم تحظير نموذجين من (قوالب عتب او موشور قياسية) بأبعاد cm( 10*10*50) حسب المواصفة الاوروبية EFNARC)) لكل خلطة خرسانية وبعد اكتمال عملية خلط يتم تفريغ الخلطة في الوعاء كبير لزيادة تجانس ومزج مكونات بصورة جيدة وبعد ذلك يتم تحظير القوالب و يتم تنظيفها وبعد ذلك ندهن السطح الداخلية للقوالب قبل عملية الصب لمنع التصاق الخرسانة بالقالب يتم مل ئ قالب بثلاث طبقات وعند اضافة كل طبقة يتم رص القالب بواسطة عص ى رص بضربات خفيفة لغرض اخراج فقاعات الهوائية محصورة وعند رص طبقة الاخيرة يجب ان يراعي ملئ القالب بالخرسانة حتى تعلو حافة القالب لكن ليس اكثر من 6 ملم وتوضع العلامات على النماذج لبيان تاريخ الصب وغيرها من المعلومات المهمة لتميز النماذ ج كما موضح في الشكل.13
فتح ومعالجة القوال
وبعد معالجة النماذج بالماء ولمدة 7 أيام لغرض اكمال عملية الاماهة، سيتم اخراجها من أحواض المعالجة وتركها في جو المختبر ولمدة 28 يوم من تا ريخ الصب لاكتمال نضج الخرسانة كما في الاشكل 14a و 14b.
فحص النماذ
عينات موشورية بحجم cm( 10*10*50) تم صبها لحصول على الاجهاد الاقصى ومعامل التمز ق. تم اجراء الا ختبار في اليوم ال28 من صب النموذج، توضع القوالب في جهاز الاختبار على ركيزتين ويراع ي أن يكون كل من نقاط الارتكاز والتحميل بطول أكبر من عرض العتبة يجب ألا يكون السطح النهائي للعينة على اتصال بنقاط التحميل . كما في الشكل.15
نقيس ونؤشر الأماكن التي سوف يستند عليها النموذج وحسب ابعاد النموذج ونقلب النموذج على جانبه نسبة الى وجه الصب ونمركزه على مساند جهاز الفحص ويتم فحص ثلاث نماذج على الاقل لكل مجموعة ويؤخذ المعدل. نسلط الحمل بصورة مستمرة وبدون صدم على النموذج لحين الفشل ويسجل اقصى حمل للنموذج. كما يكون التحميل تدريجيا وبمعدل منتظم يؤدى إلى الوصول بالقيمة النهائية للحمل في مدة حوالي ٥ دقائق.
النتائج والمناقشة
المقدمة
سيتم في هذا الفصل استعراض النتائج الت ي تم التوصل اليها من خلال البرنامج العملي الذي تم التطرق اليه في الفصل الثالث، حيث تم الاخذ بنطر الاعتبار تأثير استخدام الركام المعاد تدويره على مقاومة الانحناء للخرسانة ذاتية الرص.
مقاومة الانحناء
هي قدرة المادة على تحمل قوى الانحناء المطبقة عموديا على محورها الطول ي, تعتبر قوة الانحناء للخرسانة أحد مقاييس مقاومة الشد للخرسانة الغير مسلحة. يشير إلى قدرة العارضة أو البلاطة الخرسانية التي يتم اختبارها على مقاومة الانحناء.
كما هو الحال مع مقاومة الانضغاط، فإن قوة الانحناء للخرسانة هي خاصية أخرى مهمة للخرسانة التي يجب اختبارها بدقة قبل استخدامها في مشاريع البناء. نظرا لميلها إلى التصدع، فإن قوة الانحناء للخرسانة عادة ما تكون أقل بكثير من قوتها الانضغاطية (ما بين 10-20٪ من قوة الضغط) وهذا ما يمكن للمهندسين أن يتوقعوا رؤيته م ن نتائج الاختبار.
مقاومة الانحناء
سيتم ادرا ج نتائج مقاومة الانحناء التي تم التوصل اليها من خلال اختبار الانحناء للنماذج الموشورية ولكل خلطة خرسانية وبعمر 28 يوم وكما موضح في الجدول4 ۔
بصورة عامة، فأنه يمكن ملاحظة ان هناك تحسن ملحوظ في قوة الانحناء كلما زادت نسبة الركام المعاد تدويره وكما موضح في الشكل 16. ان اضافة الياف الحديد الى الخرسانة يساهم في تحسين خواص الانحناء للخرسانة .بصورة عامة، فكلما زادت نسبة الياف الحديد ازدادت مقاومة الانحناء وكما هو واضح في الشكل 17.
أظهرت النتائج أن سلوك الانحناء لجميع العينات عند الكسر كانت متشابهة الى حد ما، وقد حدثت التشققات للعينات الغير حاوية على الالياف فولاذية ف ي وقت اقل مقارنة مع العينات الخرسانية الحاوية على الالياف الفولاذية ولنفس نسب استبدال الركام. ان الخلطات الحاوية على الالياف الفولاذية Sf (بنسبة 1%) اظهرت أفضل مقاومة للانحناء من العينات الغير الحاوية على الالياف الفولاذية.
يمكن القول ان الخلطة الحاوية على ركام معاد التدوير بنسبة (%75) والياف الحديد بنسبة (%1) حققت أعلى نسبة زيادة ف ي قوة الانحناء، من ناحية اخرى فـأن الخلطة التي كانت تحتو ي على ركام معاد التدوير بنسبة ( %25) والياف الحديد بنسبة ( %0) اظهرت اقل نسبة زيادة حاصلة في قوة الانحناء مقارنة ببقية النسب وكما موضح في الاشكال 18 الیٰ 22۔ .
الاستنتاجات والتوصيات
المقدمة
استعرضت الدراسة الحالية، تأثير استخدام الركام المعاد تدوي ره وكذلك اضافة الألياف الفولاذية على مقاومة الانحناء للخرسانة، قسمت الخلطات الخرسانية الى خمس خلطات خرسانية بنسب خلط مختلفة وكل خلطة تحتوى على ثلاث نسب مختلفة من الألياف الفولاذية.
الاستنتاجات
من خلال استعراض النتائج العملية الت ي تم التوصل اليها، يمكن استنتاج بعض النقاط التالية:
أن الخرسانة ذات الركام المعاد استخدامه من فض لا ت الخرسانة مناسبة للاسـتخدام فـي رصـف الطـر ق الخرسانية وساحات وقوف السيارات والارصفة والمماشي وفي عمل كتل البناء الخرسانية والقوالب الجانبية والوسطية للطرق وغيرها.
يمكن أن يؤثر نوع الركام على قوة الانحناء للخرسانة.
أمكانية استخدام الركام المعاد تدوي ره كبديل عن الركام طبيعي في الأعمال الانشائية.
زيادة نسبة الألياف الفولاذية في الخلطات الخرسانية يؤدى الى زياد مقاومة الخرسانة للانحناء.
التوصيات
امكانية الاستفادة من الركام الناعم المعاد تدويره في انتاج خرسانة ذاتية الرص.
استخدام انواع اخرى من الالياف لدراسة تأثيرها على خواص الخرسانة.
امكانية دراسة خواص ميكانيكية اخرى ولنفس الخلطات الخرسانية.
Padmini, A.K. et al. “Influence of Parent Concrete on the Properties of Recycled Aggregate Concrete.” Construction and Building Materials, vol. 23, no. 2, 2009, pp. 829–836.
Safiuddin, M.D. et al. “Properties of High-Workability Concrete with Recycled Concrete Aggregate.” Materials Research, vol. 14, no. 2, 2011, pp. 248–255.
Tuyan, M. et al. “Freeze-Thaw Resistance, Mechanical and Transport Properties of Self-Consolidating Concrete Incorporating Coarse Recycled Concrete Aggregate.” Materials and Design, vol. 53, 2014, pp. 983–991.
Tu, T.-Y. et al. “Properties of HPC with Recycled Aggregates.” Cement and Concrete Research, vol. 36, no. 5, 2006, pp. 943–950.
Kou, S.C. and C.S. Poon. “Properties of Self-Compacting Concrete Prepared with Recycled Glass Aggregate.” Cement and Concrete Composites, vol. 31, no. 2, 2009, pp. 107–113.
Casuccio, M. et al. “Failure Mechanism of Recycled Aggregate Concrete.” Construction and Building Materials, vol. 22, no. 7, 2008, pp. 1500–1506.
Xiao, J. et al. “Mechanical Properties of Recycled Aggregate Concrete under Uniaxial Loading.” Cement and Concrete Research, vol. 35, no. 6, 2005, pp. 1187–1194.
RILEM Recommendation 121-DRG. “Specifications for Concrete with Recycled Aggregates.” Materials and Structures, vol. 27, no. 9, 1994, pp. 557–559.
ACI Committee 555. “Removal and Reuse of Hardened Concrete.” ACI Materials Journal, vol. 99, no. 3, 2002, pp. 300–325.
Katz, A. “Properties of Concrete Made with Recycled Aggregate from Partially Hydrated Old Concrete.” Cement and Concrete Research, vol. 33, no. 5, 2003, pp. 703–711.
Ryan, P.C. and A. O’Connor. “Examination of Self-Compacting Concrete Options for Marine Bridge Applications.” Journal of Bridge Engineering, vol. 19, no. 9, 2014, Article ID 04014032.
Centre Europeen de Normalisation (CEN). EN 206-9: 2010 Additional Rules for Self-Compacting Concrete. 2010.
Zhu, W. and P.J.M. Bartos. “Permeation Properties of Self-Compacting Concrete.” Cement and Concrete Research, vol. 33, no. 6, 2003, pp. 921–926.
Ryan, P.C. and A.J. O’Connor. “Probabilistic Modeling of Reinforced Concrete Bridge Repair Deterioration in Marine Environments.” Proceedings of the 6th International Conference on Bridge Maintenance, Safety and Management (IABMAS ’12), Taylor & Francis Publishers, Stresa, Italy, July 2012, pp. 3776–3783.
Ngo, Shing Chai. High-Strength Structural Concrete with Recycled Aggregates. Faculty of Engineering and Surveying, University of Southern Queensland, 2004, p. 112.
Singh, S. et al. “Mechanical Properties of Recycled Coarse Aggregate (RCA) Concrete.” International Journal of Applied Engineering Research, vol. 9, 2014, pp. 363–372.
Akiyoshi, Y. et al. “Study on Compressive Strength of Concrete Using Low Quality Recycled Coarse Aggregate.” 36th Conference on Our World in Concrete & Structures, Singapore, 2011, pp. 14–16.
Marinkovic, S. and V. Radonjanin. “Comparative Environmental Assessment of Natural and Recycled Aggregate Concrete.” Waste Management, vol. 30, 2010, pp. 2255–64.
Olorunsogo, F. and Padayachee. “Performance of Recycled Aggregate Concrete Monitored by Durability Indexes.” Cement and Concrete Research, vol. 32, 2002, pp. 179–185.
Hasaba, S. et al. “Drying Shrinkage and Durability of Concrete Made from Recycled Concrete Aggregates.” Transactions of Japan Concrete Institute, vol. 3, Tokyo, 1981, pp. 55–60.
Dhir, K. and Limbachiya. “Suitability of Recycled Concrete Aggregate for Use in BS 5328 Designated Mixes.” Proceedings of the Institution of Civil Engineers: Buildings, vol. 134, 1999, pp. 257–274.
Singh, B. et al. “Mechanical Properties of Recycled Coarse Aggregate (RCA) Concrete.” International Journal of Applied Engineering Research, vol. 9, 2014, pp. 363–372.
Limbachiya, M.C. et al. “RCA Concrete: A Study of Properties in the Fresh State, Strength Development and Durability.” Sustainable Construction: Use of Recycled Concrete Aggregate, Proceedings of an International Symposium, London, Thomas Telford, 1998, pp. 227–238.
Lauritzen, Erik K. “Sustainable Recycling of Concrete – Challenges and Opportunities.” Cementos Argos S.A. Foro Argos Conference Paper, May 2016.
Katz, A. “Properties of Concrete Made with Recycled Aggregate from Partially Hydrated Old Concrete.” Cement and Concrete Research, vol. 33, 2003, pp. 703–711.
Rahal, Kh. “Mechanical Properties of Concrete with Recycled Coarse Aggregate.” Building and Environment, vol. 42, 2007, pp. 407–415.
Xiao, J. et al. “Mechanical Properties of Recycled Aggregate Concrete under Uniaxial Loading.” Cement and Concrete Research, vol. 25, 2015, pp. 1187–1194.
Oikonomou, N. “Recycled Concrete Aggregates.” Cement and Concrete Composites, vol. 27, 2005, pp. 315–318.
Akbari, Y.V. et al. “Effect of Recycled Aggregate on Concrete Properties.” International Journal of Earth Sciences and Engineering, vol. 4, no. 6, 2011, pp. 924–928.
Paul, S. Mechanical Behaviour and Durability Performance of Concrete Containing Recycled Concrete Aggregate. Master’s Thesis, Department of Civil Engineering, University of Stellenbosch, Stellenbosch, South Africa, 2011, p. 128.
Etxeberria, M. et al. “Influence of Amount of Recycled Coarse Aggregates and Production Process.” Cement and Concrete Research, vol. 37, 2007, pp. 735–742.
Konin, A. and D. Kouaido. “Influence of Cement Content on Recycled Aggregates Concrete.” Modern Applied Science, vol. 5, no. 1, 2011, pp. 23–31.
Park, S. Recycled Concrete Construction Rubble as Aggregate for New Concrete. Building Research Association of New Zealand, no. 86, 1999, pp. 1–20.
Rahal, Kh. “Mechanical Properties of Concrete with Recycled Coarse Aggregate.” Building and Environment, vol. 42, 2007, pp. 407–415.
Limbachiya, M. et al. “Use of Recycled Concrete Aggregate in High-Strength Concrete.” Materials and Structures, vol. 33, 2000, p. 574.
Abdelfatah, Akmal S. and Sami W. Tabsh. “Review of Research on and Implementation of Recycled Concrete Aggregate in the GCC.” Hindawi Publishing Corporation, 2011.
O’Mahony, Margaret Mary. Recycling of Materials in Civil Engineering. Thesis submitted to the University of Oxford for the Degree of Doctor of Philosophy, 1990.
World Business Council for Sustainable Development. The Cement Sustainability Initiative: Recycling Concrete. 2009.